-
03.2 확률 변수의 기댓값의 성질과 기댓값의 선형성(Linearity of Expectation)practice_선형대수 2024. 10. 4. 19:57•확률 변수의 기댓값의 성질과 기댓값의 선형성(Linearity of Expectation)에 대 해 설명해 주세요.Q. 기대값의 성질(개념)
A. 확률변수에서 평균적으로 나오는값이고 선형성을 가진다.
Q. 기댓값의 선형성(Linearity of Expectation)
A.
1.확률변수의 합의 기대값은, 확률변수의 기대값의 합과 같다.
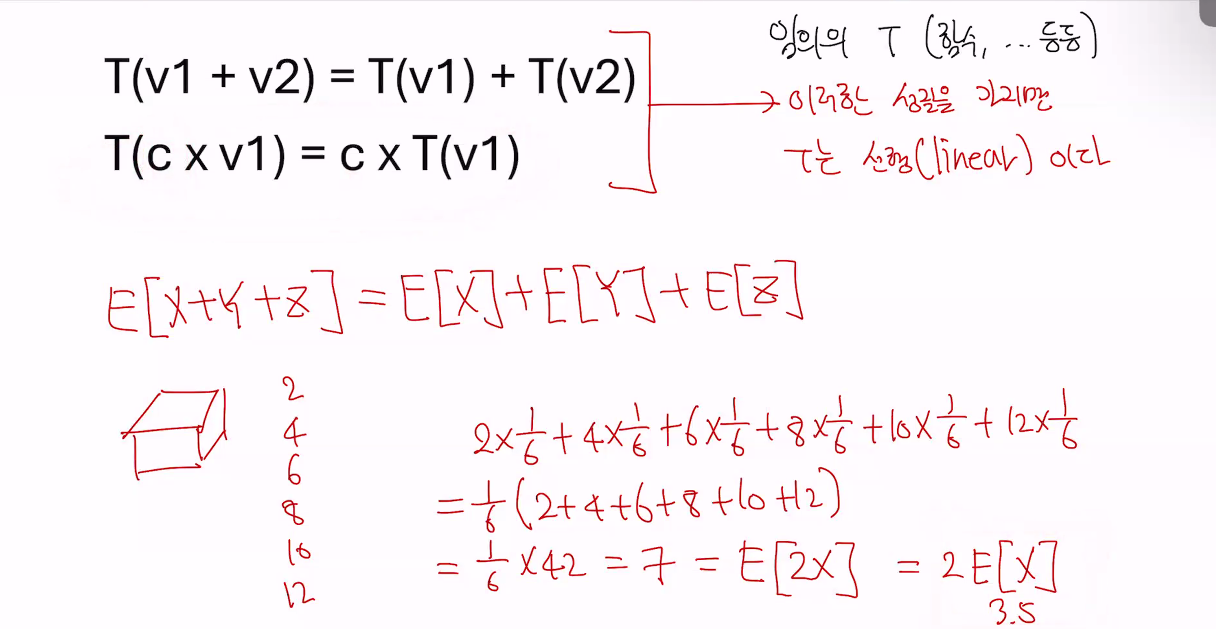
E(X+Y+Z) = E(x)+E(y)+E(z)
2. E(cX) = cE(X)
임의의 상수를 곱한 확률변수의 기대값은, 확률변수의 기대값에 상수를 곱한것과 같다.확률변수의 경우, 기댓값이 이러한 선형성을 만족합니다. 즉, 두 확률변수의 기댓값의 합은 각 기댓값의 합과 같고, 스칼라를 곱한 경우도 마찬가지입니다.
간단히 말하면, 선형성은 "합치거나 스케일할 때, 그 결과가 예측 가능한 방식으로 변한다"
확률변수의 선형성선형성은 어떤 수학적 구조가 특정 규칙을 따르는 성질을 말합니다. 일반적으로 선형성은 두 가지 주요 성질로 정의됩니다
- 덧셈에 대한 선형성: 두 요소를 더했을 때 결과가 원래의 요소들이 더해진 것과 같아야 합니다.
- 예: f(X+Y)=f(X)+f(Y)
- 스칼라 곱에 대한 선형성: 어떤 수(스칼라)를 요소에 곱했을 때, 결과가 원래 함수에 스칼라를 곱한 것과 같아야 합니다.
- 예: f(aX)=af(X)
확률변수 : 여러값이 (확률에 따라) 나오는 변수•어떠한 확률 변수에서, 우리가 (평균적으로) 나올 것이라고 기대하는 값들이 있다주사위 나오는값 ->기대값 = 평균
•일반적으로 기댓값은 E (Expectation)를 사용해 표기한다. 주사위 확률 변수가 X라면, E(X) = 3.5이다.•직관적으로, E(X + Y + Z) = E(X) + E(Y) + E(Z)이다•E(X), E(Y), Y(Z)는 모두 3.5이므로, E(X + Y + Z) = 10.5이다.•이와 같이, 여러 확률 변수의 합의 기댓값은, 각 변수의 기댓값의 합과 같다. 이를 기댓값의 선형성이라 한다.'practice_선형대수' 카테고리의 다른 글
15. 통계적 추정개념 (추정(Point Estimation)과 구간 추정(Interval Estimation) (0) 2024.10.13 14. 중앙값(Median)과 평균(Mean)의 차이점과 각각의 장점 (0) 2024.10.04 13. 선형 변환 (Linear Transformation) (0) 2024.10.04 12.다중 공선성 (Multicollinearity) (0) 2024.10.04 12-1 행렬의 랭크(Rank)의 정의와 중요성 (1) 2024.10.03 - 덧셈에 대한 선형성: 두 요소를 더했을 때 결과가 원래의 요소들이 더해진 것과 같아야 합니다.